Съдържание на висша математика I част
Съдържание на Аналитична Геометрия
Уравнение на права
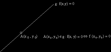
Уравнение на правата g се нарича такава връзка между x и y, зададена чрез равенство,
която се удовлетворява единствено от координатите на тези точки A, които лежат на правата g.

Аналогично е уравнението на линия l – не непременно права.
Символът l : f(x, y)=0 се чете: линията l има уравнение f(x, y).
Пресечните точки на две линии l1 : f1 (x,y)=0 и l2 : f2 (x,y)=0
са с координати, които са решения на системата:

Абцисната ос има уравнение y = 0, а ординатната x = 0.
Права, успоредна на абцисната ос има уравнение от вида: y = C = const.
Права, успоредна на ординатната ос има уравнение от вида x = C = const
Какво ще научим:
Декартово уравнение на права