Основни граници

Основни граници

Физически и геометричен смисъл на производната.
Математическо определение.

Физическият смисъл на въвежданото понятие е моментната скорост на движение на тяло. Ако в момента t то е изминало разстоянието S(t) и в един следващ, близък до първия момент-t+Dt е изминало път S(t+Dt), то моментната скорост се дефинира чрез частното [S(t+Dt)-S(t)]/ Dt при Dt приближавашо се към нула.

Определение

Нарастването на функцията y=f(x) при изменение на аргумента от x до x+Dx се дефинира чрез разликата f(x+Dx)-f(x).Означава се чрез Dy и е равно на отсечката QP. Отношението QP/AP е тангенсът на ъгъла, който сключва секущата AQ с хоризонталната линия. Когато Dx клони към 0, PQ се доближава до допирателната към графиката през точка A- правата t. Ъгълът QAP клони към ъгълът, който сключва допирателната t хоризонта а отношението Dy/Dx към тангенса на този ъгъл.

Определение

Да намерим производната на функцията: x на квадрат От определението следва:

Отново прилагайки определението намираме производната на 1/x:

Аналогично се намира:

sqrt(x)

Задача1. Намерете производната на y=exp(x),прилагайки основните граници.

Задача2. Намерете производната на y=ln(x) ,прилагайки основните граници.

Задача3. Намерете производната на y=cos(x) ,прилагайки основните граници и формулата

Таблица на производните

Горещо съветваме читателя да научи таблицата наизуст, което е гаранция за справянето със по-сложната част- намирането на производна на сложна функция.

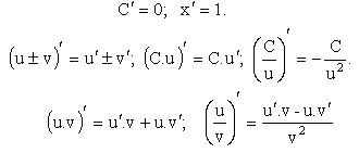
Основни формули

Задача4. Намерете производната на y=tg(x).

Следващият материал е достъпен при успешно решаване на теста.

Сложна функция


Ако знаем от, че производната на функцията F(x) е f(x)
то производната на F, не от x а от произволен израз, се получава,
като заменим x в f(x) с израза и полученото умножим по производната на израза.

При дадена функция и израз намерете производната на получената функция.
Изберете функцията F и израза:
F Израз
Помощ Решение